第四节存货管理
存货存在于企业生产经营的全过程中,它既是企业中最具分量的流动资产,又是流动性较差的流动资产。存货的运行直接关系到企业的资金占用水平以及资产的运作效率,是企业流动资金运行的晴雨表。存货管理就是要掌握存货运行的特征信息,在权衡存货运行成本与效益的基础上进行有效控制,最终达到提高经济效益的管理目的。
一、存货的功能和成本
(一)存货的功能
存货是为销售或耗用而储存的产成品或商品,或仍处在加工过程中的半成品,或是在生产过程与劳务进程中等待消耗的材料或物料等,可以分为原材料存货、在产品存货和产成品存货三大类。企业置留一定的存货,一方面是基于生产工艺或销售进程的计划需要,同时也是基于价格管理的考虑,批发购买比零星购买在价格上更具优惠。不过,过多地持有存货必然要付出更多的资金成本,同时仓储费及管理费等各项开支也会增加。存货管理的任务在于恰当地控制存货水平,在保证销售和耗用正常进行的情况下,尽可能地节约资金、降低存货成本。
(二)存货的成本
存货成本是指企业为了发挥存货的固有功能而储存一定存货所必须付出的代价。包括以下几个方面:
1.购置成本
购置成本又称采购成本,主要是由买价、运杂费等构成的成本。在一定时期进货总量既定、物价水平不变、不存在商业折扣的情况下,无论企业采购次数如何变动,存货的购置成本通常是保持不变的,因而属于决策无关成本。但是,当存在商业折扣时,购置成本则与数量相关。
购置成本(T1)=全年存货需要量(A)×单价(P) (6-14)
2.订货成本
订货成本又称进货费用,是指为订货而发生的各种成本,包括采购人员工资、采购部门的一般经费(如办公费、水电费、折旧费等)和采购业务费(如差旅费、邮电费、电话电报费、检验费)等。
订货成本可分为两部分,一部分与订货次数无关,其各期金额比较稳定,如采购人员工资、采购部门的一般经费等,称为固定订货成本,用F1表示,属于决策无关成本;另一部分与订货次数有关,随订货次数的增加而增加,如采购业务费,称为变动订货成本,属于决策相关成本。
假设,T2表示订货成本,B1表示每次订货的变动成本,A表示全年存货需要量,Q表示每次订货量,则:

3.储存成本
储存成本是指企业为持有存货而发生的成本。储存成本也分为两部分:一部分包含在储存成本中,总额相对稳定,与储存数量无关,如仓库折旧费、仓库职工的固定工资等,称为固定储存成本,属于决策无关成本;另一部分总额大小取决于储存数量和储存时间,如存货占用资金的应付利息、存货的保险费、破损变质费等,称为变动储存成本,其成本大小与存货数量成正比,属于决策相关成本。
假设,T3表示储存成本,B2表示单位变动年储存成本,F2表示固定储存成本,Q表示每次订货量,则储存成本的计算公式为:

4.缺货成本
缺货成本是指因存货不足而给企业造成的各种损失,主要包括由于材料供应中断造成的停工损失、成品供应中断导致延误发货的信誉损失及丧失销售机会的损失等。缺货成本能否作为决策的相关成本,应视企业是否允许出现存货短缺的不同情形而定。若允许缺货,则缺货成本便与存货数量成反比,即属于决策相关成本;反之,若企业不允许发生缺货,由于此时缺货成本为零,也就无需加以考虑。
二、存货管理与控制方法
企业若要保持较高的盈利水平,就应当重视存货管理。不同的存货规模所带来的平均资金占用水平的差异很大。企业存货管理是要合理控制资金占用水平,提高存货的周转效率、降低营运成本。存货管理与控制的方法主要有经济订购批量法和定额管理,都是财务管理中常用的有效方法,企业可结合自身实际综合运用。
(一)经济订购批量模型
经济订购批量,简称经济批量或订购批量,是指一定时期内使订货成本与储存成本之和最低的采购存货的数量。
1.基本运用
从订货成本和储存成本与存货数量变化的关系可知,如果存货的全年需求量既定,要降低订购批量,就必然增加订货批次。存货的储存成本是随着平均储存量的下降而下降的。相反,订货成本则随着订购批次的增加而增加。减少订购批次必然增加订购批量,减少订货成本也同时增加储存成本,总成本曲线随订购批量的增加先降后升,其拐点就是最低的订购批量点。所以,存货决策就是要找出使订货成本和储存成本两种成本的合计数最低时的订购批量,即经济订购批量。如图6-10所示。

图6-10 储存成本、订货成本与总成本的关系图
假设:A——某种存货的全年需要量;
P——每次订货成本;
Q——经济订购批量;
A/Q——全年订购批次;
C——单位存货年储存成本;
T——年成本总和(年订购成本与储存成本之和);
全年总成本等于年订货成本与年储存成本之和,因此,对方程式求导,一阶导数为零时到达总成本曲线的最低。经推导,其相关因素计算公式如下:

例6-11
A公司常年的钢材需求量为100000公斤,每次订货的固定成本为500元,每公斤钢材的年储存成本为100元,试分析确定公司的经济订货批量。
解析:
经济批量

全年最优订购批数

全年最低总成本
T*=
×100000×500×100=100000(元)
A公司每次订购1000公斤的钢材能使全年的钢材管理成本降到最低的10万元。
在实际工作中,由于各种因素的影响,需要对数学模型计算出的结论进行扩展修订,以适应企业经营状况的需要,确定综合因素下的经济订购批量,降低企业存货管理的总成本。
2.存货经济订货批量模型的拓展应用
(1)有数量折扣情况下的经济订货批量
上述基本模型假定价格不随批量而变动,但在实务中,许多企业在销售时都有批量折扣,对大批量采购在价格上往往给予一定的优惠。在这种情况下,企业采购时除了要考虑订货成本和储存成本外,还要考虑购置成本,只有上述三种成本之和最低的方案才是最优方案。
存货总成本=储存成本+订货成本+购置成本
考虑到一般情况下的经济订货批量和折扣条件所能得到的优惠,在有数量折扣情况下求经济订货批量的具体步骤如下:
①按照基本经济订货批量模型确定不享受折扣的经济订货批量。
②计算按上述经济订货批量订货时年成本合计。
③计算按给予数量折扣的批量订货时年成本合计。若给予数量折扣的批量是一个范围,则按给予数量折扣的最低批量计算年成本合计。
④比较不同订货批量的年成本合计。最低年成本合计对应的订货批量就是实行数量折扣的经济订货批量。
(2)存货陆续供应和使用的经济订货批量
在上述经济订货批量模型中假设存货能集中到货,即一次全部入库。那么,存货在每个订货周期的期初都达到最高点,期末回到0点,因此,存货增加时储存量的变化为一条垂直的直线,如图6-11所示:

图6-11 经济订货批量基本模型下的存货库存图
而在现实生活中,各批存货可能陆续供应入库和使用,尤其是产成品入库和在产品转移,几乎总是陆续供应和耗用的。在这种情况下,需要对基本模型作一些修改,如图6-12所示。
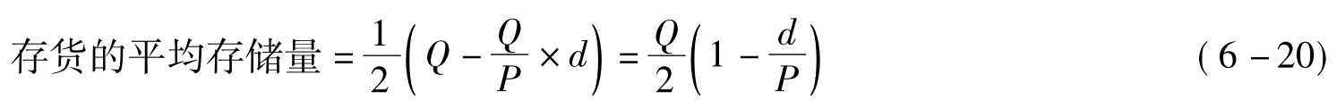
设存货每批订货量为Q,每日送货量为P,故该批订货全部送达所需日数为Q/P,称之为送货期,即自开始送货至该批订货送完为止所需的天数。设存货每日耗用量为d,显然,每日耗用量d应小于每日送货量P。由于存货是陆续供应和耗用的,所以每日存货量的净增加额为每日送货量与耗用量的差额(P-d),当每批存货全部送达完毕时:
存货的最高存储量=送货期×每日存货量的净增加额
=
×(P-d)
=Q-
×d
![]()
这样,存货总成本的计算公式可改写为:
![]()
以订货量(Q)为自变量,通过求函数(T)的一阶导数并令其等于零,可得存货陆续供应和使用的经济订货批量公式:


图6-12 存货陆续供应和使用下的库存图
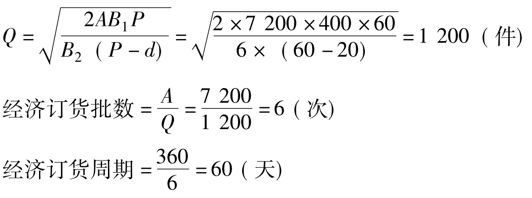
例6-12
某企业全年需用甲材料7200件,每日送货量60件,每日耗用量20件,该材料采购单价20元,每次订货成本400元,单位储存成本6元。则:陆续供应和使用的经济订货批量为多少?

送货期
=20(天)
存货的最高存储量=Q-
×d=1200-20×20=800(件)年最低存货成本合计:

陆续供应和使用的经济订货批量模型,还可以用于零部件自制和外购的选择决策。自制零件属于陆续供应和使用的情况,单位成本可能较低,但每批零件投产的生产准备成本高于一次外购订货的订货成本;外购零件的单位成本可能较高,但订货成本相对比较低。要在自制零件和外购零件之间作出选择,需要全面衡量它们各自的总成本。此时,我们可以借用陆续供应和使用的经济订货批量模型,对自制零件的总成本进行计算,从而比较自制零件和外购零件的总成本间的差异,进而得出正确的结论。
(二)存货资金的定额管理
库存定额是确保生产经营正常运行所需要的合理库存量。企业要依据实际情况来确定合理的库存量。当企业全年的生产经营运行良好,其产品流转、存货需求是经常性和连续性的,则对物料的需要即是均衡的,其每个周期的合理库存量也是标准的,这个标准就是库存定额。库存定额是企业存货管理中重要的基础性技术标准,是企业编制采购计划,确定采购量、订购批量和进货时间的重要参考;也是企业掌握和调节库存变动,维持经常性合理库存水平的重要工具;也是财务部门核定流动资金需求的重要依据。因此,制定正确的库存定额是企业提高经营管理水平的重要工作。从过程来看,库存定额主要由储备资金定额、在产品资金定额和产成品资金定额组成。
储备资金定额是指占用在原材料、辅助材料、燃料、修理用配件、低值易耗品等存货项目上的资金额度。
在产品资金定额是指从原材料投入生产开始,直到产品制成入库为止的全过程中所占用的资金(包括自制半成品资金)额度。
产成品资金定额是指从产品制成入库,直到销售出库,取得货款或结算货款为止的过程中所占用的资金额度。产成品资金定额需要按照产品品种分类核定。
影响库存定额核定的因素很多,包括企业的生产特点(例如企业类型、生产规模、产品性质、用料范围、内部供料制度等)、供货企业的特点(包括供应商类型、生产能力和生产特点、成品储存能力、供货能力和供货方式等)、物资的特点(如物资的重要程度、价值高低、可代用性以及物资自然属性等)、物资补充的难易程度(市场供求、网点布局和交通运输)等等。本企业的管理体制、管理水平、储存能力和其他条件皆要考虑。
实际工作中,影响物资储存的因素很多。库存定额的计量要经过综合分析方能合理确定。库存定额决定企业库存量的高低,任意降低库存量是保证不了生产需求的。要降低库存量就要加强库存的日常管理与统计工作,准确掌握生产及库存动态,促使各项影响因素向着有利于降低库存的方向转化。
三、存货的日常控制
自信息技术和互联网技术兴起之后,存货管理已发生了第三次革命。信息技术(如ERP、MRPⅡ等)在企业中被普遍运用,使企业的生产计划与市场销售达成信息的充分共享,计划、采购、生产和销售等部门间的协同力得以提高。通过互联网技术又使得企业的生产预测更为前瞻和准确可靠。
存货的日常控制是指在日常生产经营过程中,按照存货计划的要求,对存货的使用和周转情况进行的组织、调节和监督。
专家们认可的存货管理是将厂商的存货政策和价值链的存货政策进行作业化的综合过程。反应方法或称拉式存货方法,它是利用顾客的需求,通过配送渠道拉动产品的配送。另一种管理理念是计划方法,是按照需求量和产品可得性,主动排定产品在渠道内的运输和分配。第三种方法称为混合方法,是用逻辑推理将前两种方法进行结合,形成对产品和市场环境作出反应的存货管理理念。存货管理创新仍在继续中,企业要结合自身实际确定存货政策,对何时安排存货、何时启动补给装运和分配多少存货等过程的筹划是持久的管理艺术。
(一)ABC控制法
ABC控制法是存货控制的经典方法。企业在日常管理中,根据存货的重要程度,将存货分为A、B、C三种类型,其目的在于对存货占用资金进行有效的管理。
A类存货的品种占全部存货品种的10%~15%,其资金则占存货总额的80%左右,如大型备品备件等。A类存货种类虽少,但占用的资金多,对它们应集中主要力量实施重点管理,对其经济批量要进行认真规划,对收入、发出要进行严格控制。
C类存货在品种上占据全部存货品种的60%~65%,但其资金只占到存货总额的5%左右,如办公用品、劳保用品等随时都能采购。C类存货种类虽然繁多,但占用的资金却很少,其经济批量可凭经验而定,不必花费大量时间和精力去进行规划和控制,也不必耗费大量的人力、物力、财力去管;对它们只需进行一般的管理,可随时安排。
B类存货为一般存货,其品种占到全部存货品种的20%~30%,其资金占用是全部存货资金总额的15%左右,如日常生产经常性消耗的材料等。B类存货的重要性和管理难度是介于A类和C类之间的,其运行规律稳定,需要给予一定的重视,但不必像A类那样进行非常严格的控制,可以通过确定定额、按标准实行日常管理进行适当控制。
实施ABC分类后,企业能抓住重点存货,控制一般存货,关注普通存货,制订出较为合理的采购计划,从而有效地控制存货库存,减少储备资金占用,加速资金周转。
ABC控制法一般分以下步骤确定存货资金水平:
(1)计算确定每种存货在定期(一般为一年)内的资金占用额。
(2)计算确定每种存货资金占用额占全部资金占用额的百分比,按百分比大小顺序排列并编制存货资金表格。
(3)根据事先测定的标准,将最重要的存货划入A类,把一般存货归入B类,把不重要的存货划为C类,并用图示表达出来。
(4)对A类存货实施重点规划和控制,对B类存货进行次重点管理,对C类存货只进行一般管理。
(二)零库存管理
存货对企业经营有负面影响:企业持有存货,必然挤压流动资金,进而发生机会成本、仓储成本等。持有存货,还可能掩盖生产上的质量问题,掩盖生产的低效率,增加企业信息系统的复杂性。
零库存管理的基本思想认为,按需要组织生产和销售同样能满足市场需求,同时能使生产准备成本和储存成本最小化。零库存管理是在不接受生产准备成本或是订货成本的前提下,试图使这些成本趋于零。其管理措施是缩减生产准备时间和签订与供货商的长期合同来达到均衡生产。
要想顺利实施零库存,达到理想的管理效果,需解决两个问题:首先是如何才能实现很低的库存水平,甚至是零存货;其次是在库存水平很低,甚至是零存货的情况下,如何才能保持生产的连续性。为此需采取以下措施:
(1)在产品市场表现为供过于求(或供等于求)的状况时,采用拉动式的生产系统,以销定产;而当产品市场出现供小于求的状况时,则需要采用推动式的生产系统,以产促销;
(2)改变原材料的采购策略;
(3)建立无库存生产的制造单元;
(4)减少无附加价值成本,缩短生产周期;
(5)快速满足客户需求;
(6)保证生产顺利进行,实施全面质量管理。