开普勒定律是德国天文学家开普勒提出的关于行星运动的三大定律。第一和第二定律发表于1609年,是开普勒从天文学家第谷观测火星位置所得资料中总结出来的;第三定律发表于1619年。这三大定律又分别称为椭圆定律、面积定律和调和定律。
①椭圆定律所有行星绕太阳的轨道都是椭圆,太阳在椭圆的一个焦点上。
②面积定律行星和太阳的连线在相等的时间间隔内扫过相等的面积。
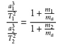
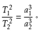
③调和定律所有行星绕太阳一周的恒星时间( Ti )的平方与它们轨道长半轴(ai)的立方成比例,即
此后,学者们把第一定律修改成为:所有行星(和彗星)的轨道都属于圆锥曲线,而太阳则在它们的一个焦点上。第二定律只在行星质量比太阳质量小得多的情况下才是精确的。如果考虑到行星也吸引太阳,这便是一个二体问题。经过修正后的第三定律的精确公式为:

(式中m1和m2为两个行星的质量;ma为太阳的质量)。

开普勒定律是开普勒发现的关于行星运动的定律。他于1609年在他出版的《新天文学》上发表了关于行星运动的两条定律,又于1618年,发现了第三条定律。 开普勒很幸运地能够得到著名丹麦天文学家第谷·布拉赫20多年所观察与收集的非常精确的天文资料。大约于1605年,根据布拉赫的行星位置资料,沿用哥白尼的匀速圆周运动理论,通过4年的计算发现第谷观测到的数据与计算有8’的误差,开普勒坚信第谷的数据是正确的,从而他对“完美”的神运动(匀速圆周运动)发起质疑,经过近6年的大量计算,开普勒得出了第一定律和第二定律,又经过10年的大量计算,得出了第三定律。开普勒的定律给予亚里士多德派与托勒密派在天文学与物理学上极大的挑战。他主张地球是不断地移动的;行星轨道不是周转圆(epicycle)的,而是椭圆形的;行星公转的速度不等恒。这些论点,大大地动摇了当时的天文学与物理学。经过了几乎一世纪披星戴月,废寝忘食的研究,物理学家终于能够用物理理论解释其中的道理。牛顿利用他的第二定律和万有引力定律,在数学上严格地证明开普勒定律,也让人们了解其中的物理意义。

太阳是宇宙的中心,地球和其他行星一样绕太阳公转,16世纪天文学家哥白尼以其大胆的洞察力,提出了太阳系这一引领时代的全新理论,从而带来了一场科技革命。但是直到半个世纪后,德国数学家开普勒利用丹麦天文学家布第谷·布拉赫提供的观察数据,才绘制出了第一张精确的太阳系地图。开普勒的辛劳巩固了哥白尼的理论。他孤军奋战,终于用第谷·布拉赫的观察数据,准确阐述了行星的运动。在有生之年,他的成就没有得到承认,但他的洞察力仍然是现代宇宙理论的基础。
首先,开普勒定律在科学思想上表现出无比勇敢的创造精神。远在哥白尼创立日心宇宙体系之前,许多学者对于天动地静的观念就提出过不同见解。但对天体遵循完美的均匀圆周运动这一观念,从未有人敢怀疑。开普勒却毅然否定了它。这是个非常大胆的创见。哥白尼知道几个圆合并起来就可以产生椭圆,但他从来没有用椭圆来描述过天体的轨道。正如开普勒所说,“哥白尼没有觉察到他伸手可得的财富”。
其次,开普勒定律彻底摧毁了托勒密的本轮系,把哥白尼体系从本轮的桎梏下解放出来,为它带来充分的完整和严谨。哥白尼抛弃古希腊人的一个先入之见,即天与地的本质差别,获得一个简单得多的体系。但它仍须用三十几个圆周来解释天体的表观运动。开普勒却找到最简单的世界体系,只用七个椭圆说就全部解决了。从此,不须再借助任何本轮和偏心圆就能简单而精确地推算行星的运动。
第三,开普勒定律使人们对行星运动的认识得到明晰概念。它证明行星世界是一个匀称的(即开普勒所说的“和谐”)系统。这个系统的中心天体是太阳,受来自太阳的某种统一力量所支配。太阳位于每个行星轨道的焦点之一。行星公转周期决定于各个行星与太阳的距离,与质量无关。而在哥白尼体系中,太阳虽然居于宇宙“中心”,却并不扮演这个角色,因为没有一个行星的轨道中心是同太阳相重合的。
由于利用前人进行的科学实验和记录下来的数据而作出科学发现,在科学史上是不少的。但像行星运动定律的发现那样,从第谷的20余年辛勤观测到开普勒长期的精心推算,道路如此艰难,成果如此辉煌的科学合作,则是罕见的。这一切都是在没有望远镜的条件下得到的!